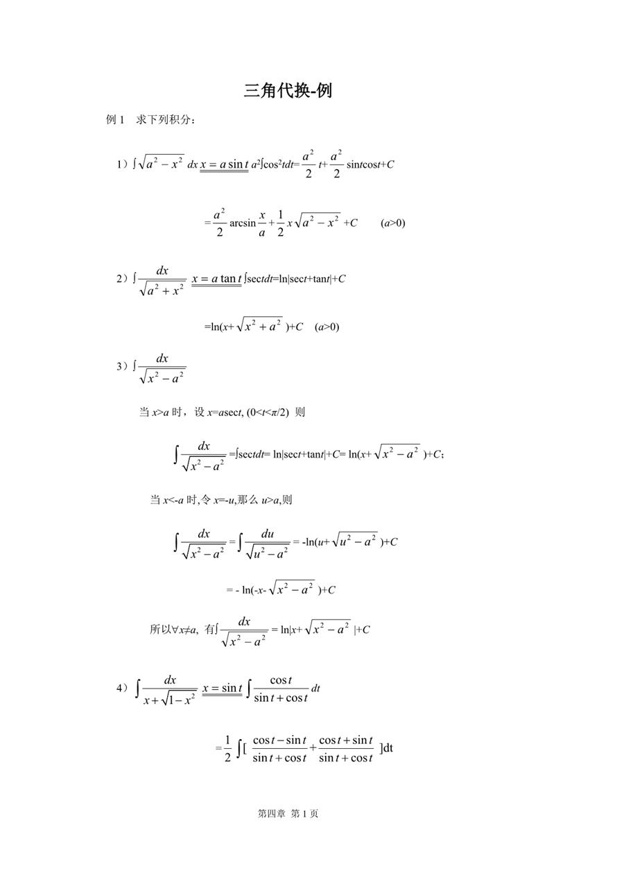
三角代换-例




 评论 0,0 / 0
上传者:梁波

  • 上传者:梁波
  • 上传时间:2015-07-20 00:43:38
  • 文件类型:.doc
  • 文件页数:2
  • 查看次数:544
  • 内容简介:暂无
  •   下载资源

相关图书